Упр.732 ГДЗ Атанасян 10-11 класс по геометрии (Геометрия)
Решение #1
Решение #2

Рассмотрим вариант решения задания из учебника Атанасян, Бутузов 11 класс, Просвещение:
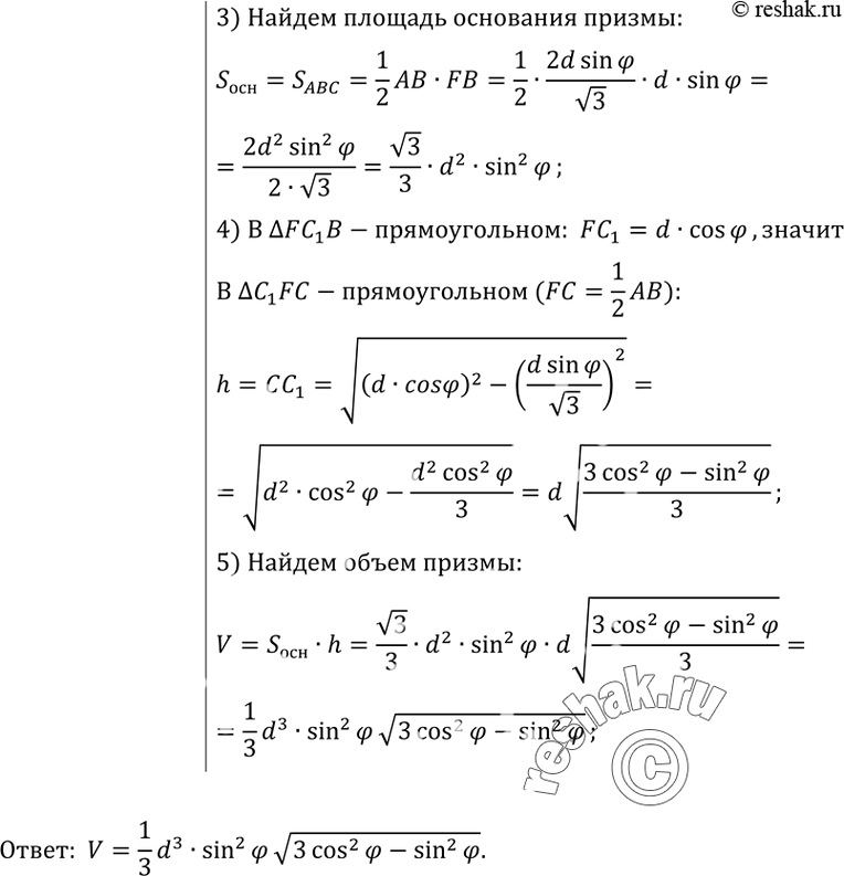
732 Диагональ боковой грани правильной треугольной призмы равна d и составляет угол ф с плоскостью другой боковой грани. Найдите объем призмы.
*размещая тексты в комментариях ниже, вы автоматически соглашаетесь с пользовательским соглашением