Упр.598 ГДЗ Атанасян 10-11 класс по геометрии (Геометрия)

Решение #1

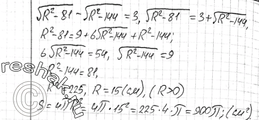
Изображение 598 Радиусы двух параллельных сечений сферы равны 9 см и 12 см. Расстояние между секущими плоскостями равно 3 см. Найдите площадь...
Дополнительное изображение

Рассмотрим вариант решения задания из учебника Атанасян, Бутузов 11 класс, Просвещение:
598 Радиусы двух параллельных сечений сферы равны 9 см и 12 см. Расстояние между секущими плоскостями равно 3 см. Найдите площадь сферы.
*Цитирирование задания со ссылкой на учебник производится исключительно в учебных целях для лучшего понимания разбора решения задания.
*размещая тексты в комментариях ниже, вы автоматически соглашаетесь с пользовательским соглашением