Упр.577 ГДЗ Атанасян 10-11 класс по геометрии (Геометрия)

Решение #1

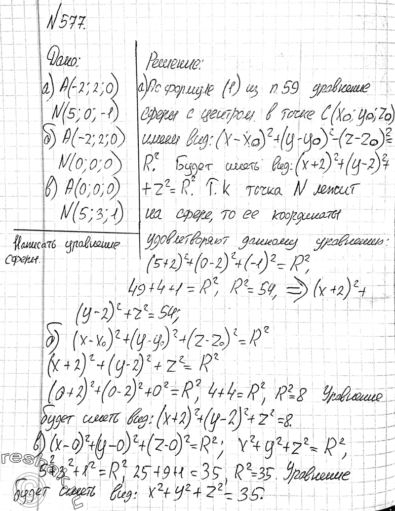
Изображение 577 Напишите уравнение сферы с центром А, проходящей через точку N, если: а) A (-2; 2; 0), N (5; 0; -1); б) A (-2; 2; 0), N (0; 0; 0); в) A (0; 0; 0), N (5; 3;...

Рассмотрим вариант решения задания из учебника Атанасян, Бутузов 11 класс, Просвещение:
577 Напишите уравнение сферы с центром А, проходящей через точку N, если: а) A (-2; 2; 0), N (5; 0; -1); б) A (-2; 2; 0), N (0; 0; 0); в) A (0; 0; 0), N (5; 3; 1).
*Цитирирование задания со ссылкой на учебник производится исключительно в учебных целях для лучшего понимания разбора решения задания.
*размещая тексты в комментариях ниже, вы автоматически соглашаетесь с пользовательским соглашением