Упр.437 ГДЗ Атанасян 10-11 класс по геометрии (Геометрия)
Решение #1
Решение #2

Рассмотрим вариант решения задания из учебника Атанасян, Бутузов 11 класс, Просвещение:
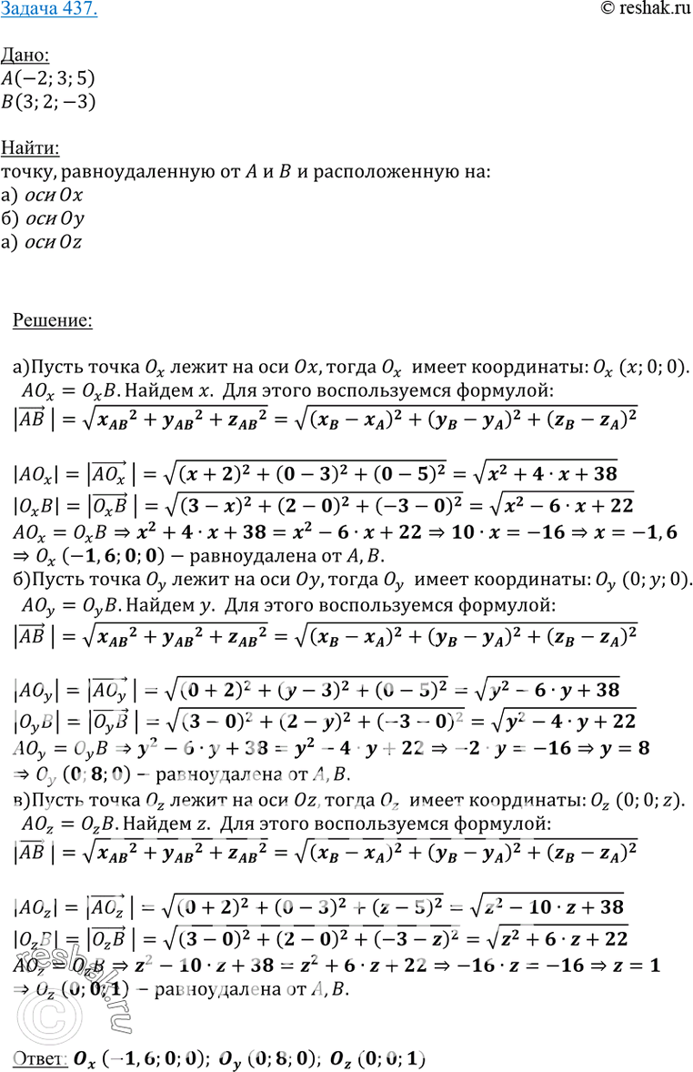
437 Найдите точку, равноудаленную от точек A (-2; 3; 5) и B (3; 2; -3) и расположенную на оси: а) Ox; б) Oy; в) Oz.
*размещая тексты в комментариях ниже, вы автоматически соглашаетесь с пользовательским соглашением