Упр.423 ГДЗ Атанасян 10-11 класс по геометрии (Геометрия)
Решение #1
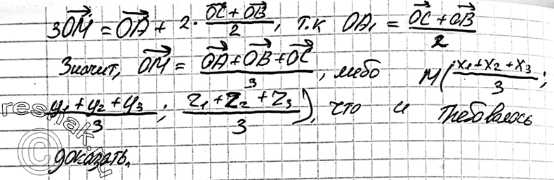
Решение #2

Рассмотрим вариант решения задания из учебника Атанасян, Бутузов 11 класс, Просвещение:
423 Докажите, что точка пересечения медиан треугольника ABC с вершинамиА (X1; ^1; Z1), B (х2; у2; z2), C (х3; у3; Z3) имеет координаты
*размещая тексты в комментариях ниже, вы автоматически соглашаетесь с пользовательским соглашением