Упр.419 ГДЗ Атанасян 10-11 класс по геометрии (Геометрия)
Решение #1
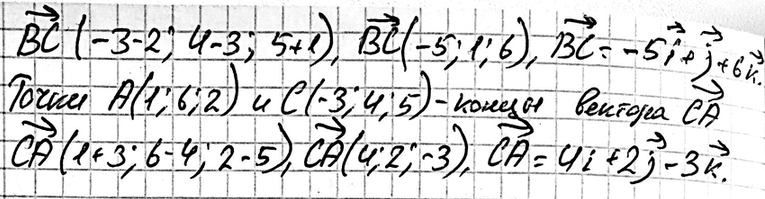
Решение #2

Рассмотрим вариант решения задания из учебника Атанасян, Бутузов 11 класс, Просвещение:
419 Вершины треугольника ABC имеют координаты: A (1; 6; 2), B (2; 3; -1), C (-3; 4; 5). Разложите векторы AB, BC и CA по координатным векторам i, j и k.
*размещая тексты в комментариях ниже, вы автоматически соглашаетесь с пользовательским соглашением