Упр.411 ГДЗ Атанасян 10-11 класс по геометрии (Геометрия)
Решение #1
Решение #2

Рассмотрим вариант решения задания из учебника Атанасян, Бутузов 11 класс, Просвещение:
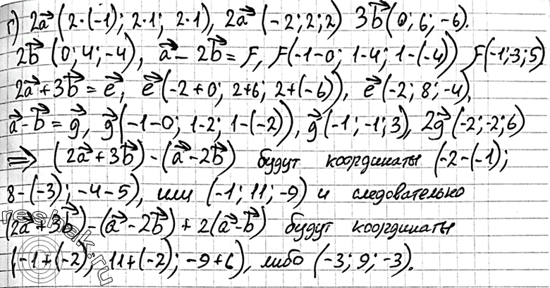
411 Даны векторы а {-1; 1; 1}, b {0; 2; -2}, с {-3; 2; 0} и d {-2; 1; -2}. Найдите координаты векторов: а) 3а + 2b - с; б) -а + 2c - d; в) 0,1а +
+ 3fe + 0,7c-5d; г) {2a + 3b)-(a-2b) + 2(a-b).
*размещая тексты в комментариях ниже, вы автоматически соглашаетесь с пользовательским соглашением